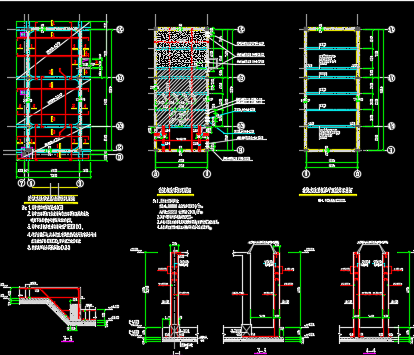
1. 水池顶板、侧壁、底板均采用C30防水混凝土,抗渗等级为S8, HPB300(‚),HRB335(ƒ),HRB400(„)。预埋件采用Q235号钢,焊条采用E43型。水池混凝土浇筑时必须振捣密实,不得漏振.池壁施工缝的位置可设在底板与池壁连接的斜托上部.
消防水池结构设计详图包括消防水池部分基础筏板配筋图、消防水池顶板配筋图、消防水池顶板梁平面整体配筋图、外墙加腋及止水带做法、爬梯详图等




RAR