Äúµ±Ç°Î»Ö㺠Ê×Ò³» ¹¤³ÌÔì¼Û» ¶¨¶îÇåµ¥
2018ÄêÈ«¹úͳһʩ¹¤»úе̨°à·ÑÓö¨¶î (PDF¸ñʽ£©34P
  • ×ÊÁϵȼ¶£º
  • ÊÚȨ·½Ê½£º×ÊÁϹ²Ïí
  • ·¢²¼Ê±¼ä£º2021-08-13 16:14:50
  • ×ÊÁÏÀàÐÍ£ºRAR
  • ×ÊÁÏ´óС£º387 KB
  • ×ÊÁÏ·ÖÀࣺ¹¤³ÌÔì¼Û
  • ÔËÐл·¾³£ºWinXp,Win2003,WinVista,Win ;
  • ½âѹÃÜÂ룺civilcn.com
2018ÄêÈ«¹úͳһʩ¹¤»úе̨°à·ÑÓö¨¶î (PDF¸ñʽ£©34P
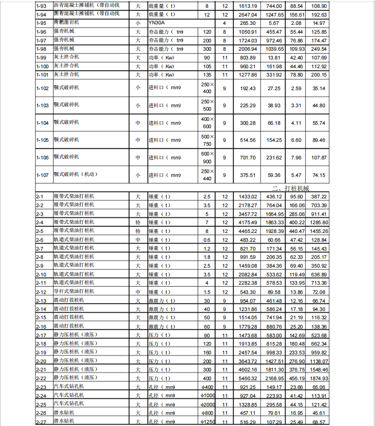
Ö÷ÒªÓУºÍÁʯ·½¼°Öþ·»úе£»´ò×®»úе£»ÆðÖØ»úе£»Ë®Æ½ÔËÊä»úе£»´¹Ö±ÔËÊä»úе£»»ìÄýÍÁ¼°É°½¬»úе£»¼Ó¹¤»úе
¸Ö½îµ÷Ö±»ú£»±ÃÀà»úе£»º¸½Ó»úе£»¶¯Á¦»úе£»µØÏ¹¤³Ì»úе£»ÆäËû»úе¡£
Èí¼þ½ØÍ¼
  • 2018ÄêÈ«¹úͳһʩ¹¤»úе̨°à·ÑÓö¨¶î (PDF¸ñʽ£©34P
  • 2018ÄêÈ«¹úͳһʩ¹¤»úе̨°à·ÑÓö¨¶î (PDF¸ñʽ£©34P
  • 2018ÄêÈ«¹úͳһʩ¹¤»úе̨°à·ÑÓö¨¶î (PDF¸ñʽ£©34P